Image Captioning with Vision Transformer (ViT) model#
In this tutorial we implement from scratch and train a transformer-based model on the image captioning task. This task consists of generating a caption text for the input image. We train the model on Flickr8k dataset and briefly test trained model on few test images. This tutorial is inspired by “Image Captioning with Keras”.
Setup#
We will be using the following packages in this tutorial:
Tiktoken to tokenize the raw text
Grain for efficient data loading and batching
tqdm for a progress bar to monitor the training progress
HuggingFace Datasets will be used for dataset provision
TorchVision will be used for image augmentations
Matplotlib will be used for visualization purposes
# !pip install -U datasets grain torchvision tqdm transformers matplotlib tiktoken
# !pip install -U flax optax orbax
# Let's use 90% of GPU memory:
import os
os.environ["XLA_PYTHON_CLIENT_MEM_FRACTION"] = "0.9"
import jax
import flax
import optax
import orbax.checkpoint as ocp
print("Jax version:", jax.__version__)
print("Flax version:", flax.__version__)
print("Optax version:", optax.__version__)
print("Orbax version:", ocp.__version__)
Jax version: 0.4.34
Flax version: 0.10.1
Optax version: 0.2.4
Orbax version: 0.9.1
Prepare image captioning dataset and dataloaders#
In this section we will set up the dataflow for our image captioning task. We will be using Flickr8k dataset as a training dataset and download a copy from the HuggingFace Datasets hub. The dataset contains 8,000 images that are each paired with five different captions which provide clear descriptions of the salient entities and events.
from datasets import load_dataset
dataset_name = "clip-benchmark/wds_flickr8k"
train_dataset = load_dataset(dataset_name, split="train")
test_dataset = load_dataset(dataset_name, split="test")
# Remap datapoint key names
def remap_keys(data):
return {
"image": data["jpg"],
"caption": data["txt"],
}
train_dataset = train_dataset.with_transform(remap_keys)
test_dataset = test_dataset.with_transform(remap_keys)
print("Training dataset size:", len(train_dataset))
print("Test dataset size:", len(test_dataset))
Training dataset size: 6000
Test dataset size: 1000
import matplotlib.pyplot as plt
def display_datapoints(*datapoints, tag=""):
num_samples = len(datapoints)
fig, axs = plt.subplots(1, num_samples, figsize=(20, 10))
for i, datapoint in enumerate(datapoints):
if isinstance(datapoint, dict):
img, captions = datapoint["image"], datapoint["caption"]
else:
img, captions = datapoint
if hasattr(img, "dtype") and img.dtype in (np.float32, ):
img = ((img - img.min()) / (img.max() - img.min()) * 255.0).astype(np.uint8)
if isinstance(captions, str):
cap_str = "\n".join([cap for cap in captions.split("\n")])
else:
cap_str = f"tensor shape: {captions.shape}\n{captions[:5]}..."
axs[i].set_title(f"{tag}Caption:\n{cap_str}")
axs[i].imshow(img)
display_datapoints(
train_dataset[0], train_dataset[1000], train_dataset[2000],
tag="(Training) ",
)
display_datapoints(
test_dataset[0], test_dataset[500], test_dataset[-1],
tag="(Test) ",
)


Below we define image and text transformations. We will be using TorchVision to transform input images. Training image transformations will also contain random augmentations to prevent overfitting and make trained model more robust. For the captions we pick the longest caption among 5 captions and we are going to use the GPT-2 tokenizer via Tiktoken to make a string-to-tokens preprocessing transformation: text string into integer tensors.
import grain.python as grain
import numpy as np
import tiktoken
from torchvision.transforms import v2 as T
seed = 12
train_batch_size = 196
test_batch_size = 2 * train_batch_size
img_size = 224
max_length = 150
tokenizer = tiktoken.get_encoding("gpt2")
vocab_size = tokenizer.n_vocab
def to_np_array(pil_image):
return np.asarray(pil_image.convert("RGB"))
def normalize(image):
# We use here the normalization parameters matching
# pretrained ViT from HF Transformers:
# ViTImageProcessor.from_pretrained('google/vit-base-patch16-224')
mean = np.array([0.5, 0.5, 0.5], dtype=np.float32)
std = np.array([0.5, 0.5, 0.5], dtype=np.float32)
image = image.astype(np.float32) / 255.0
return (image - mean) / std
train_transforms = T.Compose([
T.RandomResizedCrop((img_size, img_size), scale=(0.7, 1.0)),
T.RandomHorizontalFlip(),
T.ColorJitter(0.2, 0.2, 0.2),
T.Lambda(to_np_array),
T.Lambda(normalize),
])
test_transforms = T.Compose([
T.Resize((img_size, img_size)),
T.Lambda(to_np_array),
T.Lambda(normalize),
])
Finally, using grain
we put all transformations into grain.MapTransform
and create dataloaders for efficient data loading.
import string
class ImageTransforms(grain.MapTransform):
def __init__(self, tv_transforms: callable):
self.tv_transforms = tv_transforms
def map(self, data):
image = data["image"]
output = self.tv_transforms(image)
return {
"image": output,
"caption": data["caption"]
}
start_tag = "[start]"
end_tag = "[end]"
class TextPreprocessing(grain.MapTransform):
def __init__(self, tokenizer, max_length: int = 256, use_longest_caption: bool = False):
self.tokenizer = tokenizer
self.max_length = max_length
self._str_trans_table = str.maketrans("", "", string.punctuation)
self.use_longest_caption = use_longest_caption
def map(self, data):
# We remove all punctuation chars using s.translate()
captions = [cap.translate(self._str_trans_table).strip() for cap in data["caption"].split("\n")]
if self.use_longest_caption:
# Use the longest caption
longest_caption = sorted(captions, key=lambda x: len(x))[-1]
text = start_tag + longest_caption + end_tag
else:
# Let's join all captions as:
# start_tag + cap1 + eng_tag + start_tag + cap2 + eng_tag + ... + start_tag + cap5 + eng_tag
text_list = []
for cap in captions:
text_list += [start_tag, cap, end_tag, " "]
text = "".join(text_list)
encoded = self.tokenizer.encode(
text, allowed_special={start_tag, end_tag}
)
# Cut to max length
encoded = encoded[:self.max_length]
# Pad with zeros if needed
encoded = np.array(encoded + [0] * (self.max_length - len(encoded)))
return {
"caption": encoded,
"image": data["image"],
}
train_sampler = grain.IndexSampler(
len(train_dataset),
shuffle=True,
seed=seed,
shard_options=grain.NoSharding(), # No sharding since this is a single-device setup
num_epochs=1, # Iterate over the dataset for one epoch
)
test_sampler = grain.IndexSampler(
len(test_dataset),
shuffle=False,
seed=seed,
shard_options=grain.NoSharding(), # No sharding since this is a single-device setup
num_epochs=1, # Iterate over the dataset for one epoch
)
train_loader = grain.DataLoader(
data_source=train_dataset,
sampler=train_sampler, # Sampler to determine how to access the data
worker_count=4, # Number of child processes launched to parallelize the transformations among
worker_buffer_size=2, # Count of output batches to produce in advance per worker
operations=[
ImageTransforms(train_transforms),
TextPreprocessing(tokenizer, max_length=max_length),
grain.Batch(train_batch_size, drop_remainder=True),
]
)
test_loader = grain.DataLoader(
data_source=test_dataset,
sampler=test_sampler, # Sampler to determine how to access the data
worker_count=4, # Number of child processes launched to parallelize the transformations among
worker_buffer_size=2, # Count of output batches to produce in advance per worker
operations=[
ImageTransforms(test_transforms),
TextPreprocessing(tokenizer, max_length=max_length),
grain.Batch(test_batch_size),
]
)
Let’s visualize training and validation batches
train_batch = next(iter(train_loader))
test_batch = next(iter(test_loader))
print("Training batch info:", train_batch["image"].shape, train_batch["image"].dtype, train_batch["caption"].shape, train_batch["caption"].dtype)
print("Test batch info:", test_batch["image"].shape, test_batch["image"].dtype, test_batch["caption"].shape, test_batch["caption"].dtype)
Training batch info: (196, 224, 224, 3) float32 (196, 150) int64
Test batch info: (250, 224, 224, 3) float32 (250, 150) int64
display_datapoints(
*[(train_batch["image"][i], train_batch["caption"][i]) for i in range(5)],
tag="(Training) ",
)

display_datapoints(
*[(test_batch["image"][i], test_batch["caption"][i]) for i in range(5)],
tag="(Test) ",
)

Let’s take a closer look at encoded and decoded captions:
cap = train_batch["caption"][0, :]
print("Encoded caption:", cap)
print("Decoded caption:", tokenizer.decode(cap))
Encoded caption: [ 58 9688 60 32 2042 290 7586 6844 10427 257 2266 40529
58 437 60 685 9688 60 32 2042 3290 36615 319 257
2266 40529 58 437 60 685 9688 60 32 3290 1125 18504
319 465 2266 40529 58 437 60 685 9688 60 32 3290
286 3223 3124 6622 257 2266 40529 287 465 5422 58 437
60 685 9688 60 64 3290 256 10339 319 465 2266 40529
58 437 60 220 0 0 0 0 0 0 0 0
0 0 0 0 0 0 0 0 0 0 0 0
0 0 0 0 0 0 0 0 0 0 0 0
0 0 0 0 0 0 0 0 0 0 0 0
0 0 0 0 0 0 0 0 0 0 0 0
0 0 0 0 0 0 0 0 0 0 0 0
0 0 0 0 0 0]
Decoded caption: [start]A black and brown dogs pulling a red leash[end] [start]A black dog chewing on a red leash[end] [start]A dog chews on his red leash[end] [start]A dog of dark color holds a red leash in his mouth[end] [start]a dog tugs on his red leash[end] !!!!!!!!!!!!!!!!!!!!!!!!!!!!!!!!!!!!!!!!!!!!!!!!!!!!!!!!!!!!!!!!!!!!!!!!!!
Model#
We implement from scratch a transformer-based model for the image captioning task. The model contains two part:
transformer encoder (Vision Transformer pretrained on the ImageNet): it takes input image and returns a sequence of tokens corresponding to the input image.
transformer decoder: it takes two inputs: 1) the encoder output: a sequence of image tokens, 2) a sequence of caption tokens, a context, and returns the new sequence caption tokens containing previous tokens and one generated next token.
Pretrained Vision Transformer#
Below we implement from scratch Vision Transformer (ViT) model based on the paper by Dosovitskiy et al: An Image is Worth 16x16 Words: Transformers for Image Recognition at Scale. We add an additional flag to skip the classification head and return the sequence of image tokens.
import jax.numpy as jnp
from flax import nnx
class VisionTransformer(nnx.Module):
def __init__(
self,
num_classes: int = 1000,
in_channels: int = 3,
img_size: int = 224,
patch_size: int = 16,
num_layers: int = 12,
num_heads: int = 12,
mlp_dim: int = 3072,
hidden_size: int = 768,
dropout_rate: float = 0.1,
*,
rngs: nnx.Rngs = nnx.Rngs(0),
include_top: bool = True
):
# Patch and position embedding
n_patches = (img_size // patch_size) ** 2
self.patch_embeddings = nnx.Conv(
in_channels,
hidden_size,
kernel_size=(patch_size, patch_size),
strides=(patch_size, patch_size),
padding="VALID",
use_bias=True,
rngs=rngs,
)
initializer = jax.nn.initializers.truncated_normal(stddev=0.02)
self.position_embeddings = nnx.Param(
initializer(rngs.params(), (1, n_patches + 1, hidden_size), jnp.float32)
)
self.dropout = nnx.Dropout(dropout_rate, rngs=rngs)
self.cls_token = nnx.Param(jnp.zeros((1, 1, hidden_size)))
# Transformer Encoder blocks
self.encoder = nnx.Sequential(*[
TransformerEncoder(hidden_size, mlp_dim, num_heads, dropout_rate, rngs=rngs)
for i in range(num_layers)
])
self.final_norm = nnx.LayerNorm(hidden_size, rngs=rngs)
self.include_top = include_top
# Classification head
self.classifier = nnx.Linear(hidden_size, num_classes, rngs=rngs)
# store config info:
self.hidden_size = hidden_size
self.mlp_dim = mlp_dim
self.img_size = img_size
self.patch_size = patch_size
def __call__(self, x: jax.Array) -> jax.Array:
# Patch and position embedding
patches = self.patch_embeddings(x)
batch_size = patches.shape[0]
patches = patches.reshape(batch_size, -1, patches.shape[-1])
cls_token = jnp.tile(self.cls_token, [batch_size, 1, 1])
x = jnp.concat([cls_token, patches], axis=1)
embeddings = x + self.position_embeddings
embeddings = self.dropout(embeddings)
# Encoder blocks
x = self.encoder(embeddings)
x = self.final_norm(x)
if self.include_top:
# fetch the first token
x = x[:, 0]
# Classification
return self.classifier(x)
else:
return x
class TransformerEncoder(nnx.Module):
def __init__(
self,
hidden_size: int,
mlp_dim: int,
num_heads: int,
dropout_rate: float = 0.0,
*,
rngs: nnx.Rngs = nnx.Rngs(0),
) -> None:
self.norm1 = nnx.LayerNorm(hidden_size, rngs=rngs)
self.attn = nnx.MultiHeadAttention(
num_heads=num_heads,
in_features=hidden_size,
dropout_rate=dropout_rate,
broadcast_dropout=False,
decode=False,
deterministic=False,
rngs=rngs,
)
self.norm2 = nnx.LayerNorm(hidden_size, rngs=rngs)
self.mlp = nnx.Sequential(
nnx.Linear(hidden_size, mlp_dim, rngs=rngs),
nnx.gelu,
nnx.Dropout(dropout_rate, rngs=rngs),
nnx.Linear(mlp_dim, hidden_size, rngs=rngs),
nnx.Dropout(dropout_rate, rngs=rngs),
)
def __call__(self, x: jax.Array) -> jax.Array:
x = x + self.attn(self.norm1(x))
x = x + self.mlp(self.norm2(x))
return x
# We use a configuration to make smaller model to reduce the training time
x = jnp.ones((4, 224, 224, 3))
model = VisionTransformer(num_classes=1000)
y = model(x)
print("Predictions shape: ", y.shape)
params = nnx.state(model, nnx.Param)
print("Number of model parameters: ", sum([p.size for p in jax.tree.flatten(params)[0]]))
Predictions shape: (4, 1000)
Number of model parameters: 86567656
Let’s now load the weights pretrained on the ImageNet dataset using HuggingFace Transformers
from transformers import FlaxViTForImageClassification
tf_model = FlaxViTForImageClassification.from_pretrained('google/vit-base-patch16-224')
def vit_inplace_copy_weights(*, src_model, dst_model):
assert isinstance(src_model, FlaxViTForImageClassification)
assert isinstance(dst_model, VisionTransformer)
tf_model_params = src_model.params
tf_model_params_fstate = nnx.traversals.flatten_mapping(tf_model_params)
flax_model_params = nnx.state(dst_model, nnx.Param)
flax_model_params_fstate = dict(flax_model_params.flat_state())
src_num_params = sum([p.size for p in tf_model_params_fstate.values()])
dst_num_params = sum([p.value.size for p in flax_model_params_fstate.values()])
assert src_num_params == dst_num_params
params_name_mapping = {
**{
("classifier", x): ("classifier", x)
for x in ["kernel", "bias"]
},
("cls_token",): ("vit", "embeddings", "cls_token"),
("position_embeddings",): ("vit", "embeddings", "position_embeddings"),
**{
("patch_embeddings", x): ("vit", "embeddings", "patch_embeddings", "projection", x)
for x in ["kernel", "bias"]
},
**{
("encoder", "layers", i, "attn", y, x): (
"vit", "encoder", "layer", str(i), "attention", "attention", y, x
)
for x in ["kernel", "bias"]
for y in ["key", "value", "query"]
for i in range(12)
},
**{
("encoder", "layers", i, "attn", "out", x): (
"vit", "encoder", "layer", str(i), "attention", "output", "dense", x
)
for x in ["kernel", "bias"]
for i in range(12)
},
**{
("encoder", "layers", i, "mlp", "layers", y1, x): (
"vit", "encoder", "layer", str(i), y2, "dense", x
)
for x in ["kernel", "bias"]
for y1, y2 in [(0, "intermediate"), (3, "output")]
for i in range(12)
},
**{
("encoder", "layers", i, y1, x): (
"vit", "encoder", "layer", str(i), y2, x
)
for x in ["scale", "bias"]
for y1, y2 in [("norm1", "layernorm_before"), ("norm2", "layernorm_after")]
for i in range(12)
},
**{
("final_norm", x): ("vit", "layernorm", x)
for x in ["scale", "bias"]
}
}
nonvisited = set(flax_model_params_fstate.keys())
for key1, key2 in params_name_mapping.items():
assert key1 in flax_model_params_fstate, key1
assert key2 in tf_model_params_fstate, (key1, key2)
nonvisited.remove(key1)
src_value = tf_model_params_fstate[key2]
if key2[-1] == "kernel" and key2[-2] in ("key", "value", "query"):
shape = src_value.shape
src_value = src_value.reshape((shape[0], 12, 64))
if key2[-1] == "bias" and key2[-2] in ("key", "value", "query"):
src_value = src_value.reshape((12, 64))
if key2[-4:] == ("attention", "output", "dense", "kernel"):
shape = src_value.shape
src_value = src_value.reshape((12, 64, shape[-1]))
dst_value = flax_model_params_fstate[key1]
assert src_value.shape == dst_value.value.shape, (key2, src_value.shape, key1, dst_value.value.shape)
dst_value.value = src_value.copy()
assert dst_value.value.mean() == src_value.mean(), (dst_value.value, src_value.mean())
assert len(nonvisited) == 0, nonvisited
nnx.update(dst_model, nnx.State.from_flat_path(flax_model_params_fstate))
vit_inplace_copy_weights(src_model=tf_model, dst_model=model)
Let’s check the pretrained weights of our model and compare with the reference model results
from transformers import ViTImageProcessor
from PIL import Image
import requests
url = 'http://images.cocodataset.org/val2017/000000039769.jpg'
image = Image.open(requests.get(url, stream=True).raw)
processor = ViTImageProcessor.from_pretrained('google/vit-base-patch16-224')
inputs = processor(images=image, return_tensors="np")
outputs = tf_model(**inputs)
logits = outputs.logits
model.eval()
x = jnp.transpose(inputs["pixel_values"], axes=(0, 2, 3, 1))
output = model(x)
# model predicts one of the 1000 ImageNet classes
ref_class_idx = logits.argmax(-1).item()
pred_class_idx = output.argmax(-1).item()
assert jnp.abs(logits[0, :] - output[0, :]).max() < 0.1
fig, axs = plt.subplots(1, 2, figsize=(12, 8))
axs[0].set_title(
f"Reference model:\n{tf_model.config.id2label[ref_class_idx]}\nP={nnx.softmax(logits, axis=-1)[0, ref_class_idx]:.3f}"
)
axs[0].imshow(image)
axs[1].set_title(
f"Our model:\n{tf_model.config.id2label[pred_class_idx]}\nP={nnx.softmax(output, axis=-1)[0, pred_class_idx]:.3f}"
)
axs[1].imshow(image)
<matplotlib.image.AxesImage at 0x7f9b7db63d90>

However, for the image captioning task we need ViT model to return the sequence of tokens before the classification head:
def get_vit_encoder(
img_size: int = 224,
patch_size: int = 16,
num_layers: int = 12,
num_heads: int = 12,
mlp_dim: int = 3072,
hidden_size: int = 768,
dropout_rate: float = 0.1,
*,
rngs: nnx.Rngs = nnx.Rngs(0),
use_pretained_weights: bool = True,
):
encoder = VisionTransformer(
num_classes=1000,
img_size=img_size,
patch_size=patch_size,
num_layers=num_layers,
num_heads=num_heads,
mlp_dim=mlp_dim,
hidden_size=hidden_size,
dropout_rate=dropout_rate,
rngs=rngs,
)
if use_pretained_weights:
tf_model = FlaxViTForImageClassification.from_pretrained('google/vit-base-patch16-224')
vit_inplace_copy_weights(src_model=tf_model, dst_model=encoder)
encoder.include_top = False
return encoder
encoder = get_vit_encoder()
encoder.eval()
x = jnp.ones((4, 224, 224, 3))
y = encoder(x)
print("Image encoded sequence:", y.shape)
Image encoded sequence: (4, 197, 768)
del model, encoder, tf_model
Transformer decoder#
def causal_attention_mask(sequence_length):
return jnp.tril(jnp.ones((sequence_length, sequence_length)))
class PositionalEmbedding(nnx.Module):
def __init__(
self,
sequence_length: int,
vocab_size: int,
hidden_size: int = 768,
*,
rngs: nnx.Rngs = nnx.Rngs(0),
):
self.token_embeddings = nnx.Embed(
num_embeddings=vocab_size, features=hidden_size, rngs=rngs
)
self.position_embeddings = nnx.Embed(
num_embeddings=sequence_length, features=hidden_size, rngs=rngs
)
def __call__(self, x: jax.Array) -> jax.Array:
sequence_length = x.shape[1]
positions = jnp.arange(0, sequence_length)[None, :]
embedded_tokens = self.token_embeddings(x)
embedded_positions = self.position_embeddings(positions)
return embedded_tokens + embedded_positions
class TransformerDecoderLayer(nnx.Module):
def __init__(
self,
num_heads: int = 12,
mlp_dim: int = 3072,
hidden_size: int = 768,
dropout_rate: float = 0.1,
*,
rngs: nnx.Rngs = nnx.Rngs(0),
):
self.masked_self_mha = nnx.MultiHeadAttention(
num_heads=num_heads,
in_features=hidden_size,
broadcast_dropout=False,
decode=False,
deterministic=False,
rngs=rngs,
)
self.dropout = nnx.Dropout(dropout_rate, rngs=rngs)
self.norm1 = nnx.LayerNorm(num_features=hidden_size, rngs=rngs)
self.encoder_mha = nnx.MultiHeadAttention(
num_heads=num_heads,
in_features=hidden_size,
broadcast_dropout=False,
decode=False,
deterministic=False,
rngs=rngs,
)
self.norm2 = nnx.LayerNorm(num_features=hidden_size, rngs=rngs)
self.mlp = nnx.Sequential(
nnx.Linear(hidden_size, mlp_dim, rngs=rngs),
nnx.gelu,
nnx.Dropout(dropout_rate, rngs=rngs),
nnx.Linear(mlp_dim, hidden_size, rngs=rngs),
nnx.Dropout(dropout_rate, rngs=rngs),
)
self.norm3 = nnx.LayerNorm(num_features=hidden_size, rngs=rngs)
def __call__(
self, decoder_input: jax.Array, encoder_output: jax.Array, mask: jax.Array | None = None
) -> jax.Array:
# Self-attention part on decoder input
causal_mask = causal_attention_mask(decoder_input.shape[1]) # (sequence_length, sequence_length)
if mask is not None:
# mask shape: (N, sequence_length)
padding_mask = mask[:, None, :, None].astype("int32") # (N, 1, sequence_length, 1)
combined_mask = mask[:, None, None, :].astype("int32") # (N, 1, sequence_length)
combined_mask = jnp.minimum(combined_mask, causal_mask) # (N, 1, sequence_length, sequence_length)
else:
combined_mask = causal_mask
padding_mask = None
attention_output = self.masked_self_mha(inputs_q=decoder_input, mask=combined_mask)
attention_output = self.dropout(attention_output)
attention_output = self.norm1(decoder_input + attention_output)
# Attention part on encoder input
decoder_output = self.encoder_mha(
inputs_q=attention_output,
inputs_v=encoder_output,
inputs_k=encoder_output,
mask=padding_mask,
)
decoder_output = self.dropout(decoder_output)
decoder_output = self.norm2(decoder_output + attention_output)
# Final MLP part
decoder_output = decoder_output + self.mlp(decoder_output)
decoder_output = self.norm3(decoder_output)
return decoder_output
class TransformerDecoder(nnx.Module):
def __init__(
self,
sequence_length: int,
vocab_size: int,
num_layers: int = 12,
num_heads: int = 12,
mlp_dim: int = 3072,
hidden_size: int = 768,
dropout_rate: float = 0.1,
*,
rngs: nnx.Rngs = nnx.Rngs(0),
):
self.positional_embedding = PositionalEmbedding(
sequence_length, vocab_size, hidden_size, rngs=rngs
)
self.dropout = nnx.Dropout(dropout_rate, rngs=rngs)
self.decoder_blocks = [
TransformerDecoderLayer(
num_heads, mlp_dim, hidden_size, dropout_rate=dropout_rate
)
for _ in range(num_layers)
]
def __call__(
self, decoder_input: jax.Array, encoder_output: jax.Array, mask: jax.Array | None = None
) -> jax.Array:
x = self.positional_embedding(decoder_input)
x = self.dropout(x)
for layer in self.decoder_blocks:
x = layer(x, encoder_output, mask=mask)
return x
Image Captioning Model#
class ImageCaptioningModel(nnx.Module):
def __init__(
self,
# encoder config:
img_size: int = 224,
patch_size: int = 16,
encoder_num_layers: int = 12,
encoder_num_heads: int = 12,
encoder_mlp_dim: int = 3072,
use_pretained_encoder: bool = True,
# decoder config:
vocab_size: int = 50257,
decoder_sequence_length: int = 50,
decoder_num_layers: int = 4,
decoder_num_heads: int = 6,
decoder_mlp_dim: int = 3072,
# other common config:
dropout_rate: float = 0.1,
hidden_size: int = 768,
*,
rngs: nnx.Rngs = nnx.Rngs(0),
):
self.encoder = get_vit_encoder(
img_size,
patch_size,
encoder_num_layers,
encoder_num_heads,
encoder_mlp_dim,
hidden_size,
dropout_rate=dropout_rate,
use_pretained_weights=use_pretained_encoder,
rngs=rngs,
)
self.decoder = TransformerDecoder(
decoder_sequence_length,
vocab_size,
decoder_num_layers,
decoder_num_heads,
decoder_mlp_dim,
hidden_size,
dropout_rate=dropout_rate,
rngs=rngs,
)
self.dropout = nnx.Dropout(dropout_rate, rngs=rngs)
self.lm_head = nnx.Linear(hidden_size, vocab_size, rngs=rngs)
def __call__(
self, img: jax.Array, decoder_input: jax.Array, mask: jax.Array | None = None
) -> jax.Array:
encoder_output = self.encoder(img)
decoder_output = self.decoder(decoder_input, encoder_output, mask) # (N, sequence_length, hidden_size)
decoder_output = self.dropout(decoder_output)
return self.lm_head(decoder_output)
def generate(
self,
img: Image.Image | jax.Array,
max_length: int = max_length,
max_tokens: int | None = None,
top_k: int = 10,
test_transforms: callable = test_transforms,
tokenizer=tokenizer,
start_tag: str = start_tag,
end_tag: str = end_tag,
seed: int = 123,
):
self.eval()
if isinstance(img, Image.Image):
img = jnp.array(test_transforms(img)[None, :])
else:
assert img.ndim == 4, img.shape
if max_tokens is None:
max_tokens = max_length
# Create image representation
encoder_output = self.encoder(img)
start_tokens = tokenizer.encode(start_tag, allowed_special={start_tag, end_tag})
end_tokens = tokenizer.encode(end_tag, allowed_special={start_tag, end_tag})
def sample_from(logits):
logits, indices = jax.lax.top_k(logits, k=top_k)
logits = nnx.softmax(logits)
return jax.random.choice(jax.random.key(seed), indices, p=logits)
def generate_step(start_tokens):
# Cut to max length and pad with zeros if needed
start_tokens = start_tokens[:max_length]
sample_index = len(start_tokens) - 1
start_tokens = jnp.array(start_tokens + [0] * (max_length - len(start_tokens)))
start_tokens = start_tokens[None, :]
mask = start_tokens != 0
decoder_output = self.decoder(start_tokens, encoder_output, mask)
logits = self.lm_head(decoder_output)
next_token = sample_from(logits[0][sample_index])
return next_token
generated = []
for _ in range(max_tokens):
next_token = generate_step(start_tokens + generated)
generated.append(int(next_token))
# Truncate whatever is after end_tag
if generated[-len(end_tokens):] == end_tokens:
break
return tokenizer.decode(generated[:-len(end_tokens)])
model = ImageCaptioningModel(img_size=img_size, vocab_size=vocab_size, decoder_sequence_length=max_length)
We can visualize model’s architecture with nnx.display(model)
.
Let’s make a smoke test of the model implementation and check the output shape: (N, sequence_length, vocab_size)
img = jnp.ones((4, 224, 224, 3))
decoder_input = jnp.ones((4, max_length), dtype="int32")
mask = decoder_input != 0
pred_tokens = model(img, decoder_input=decoder_input, mask=mask)
print("Predicted tokens shape:", pred_tokens.shape)
Predicted tokens shape: (4, 150, 50257)
Train the model#
# Select all params and not those with the key containing "encoder"
trainable_params_filter = nnx.All(nnx.Param, nnx.Not(nnx.PathContains("encoder")))
model_diffstate = nnx.DiffState(0, trainable_params_filter)
for key, _ in nnx.state(model, trainable_params_filter).flat_state():
assert "encoder" not in key
import optax
num_epochs = 200
learning_rate = 0.015
momentum = 0.9
total_steps = len(train_dataset) // train_batch_size
optimizer = nnx.Optimizer(
model, optax.sgd(learning_rate, momentum, nesterov=True), wrt=trainable_params_filter
)
def compute_losses_and_logits(model: nnx.Module, images: jax.Array, target_tokens: jax.Array):
input_tokens = target_tokens[:, :-1]
padding_mask = input_tokens != 0
target_tokens = target_tokens[:, 1:]
predicted_tokens = model(images, decoder_input=input_tokens, mask=padding_mask)
loss = optax.softmax_cross_entropy_with_integer_labels(
logits=predicted_tokens, labels=target_tokens
).mean()
return loss, (predicted_tokens, target_tokens)
@nnx.jit
def train_step(
model: nnx.Module, optimizer: nnx.Optimizer, batch: dict[str, np.ndarray]
):
# Convert np.ndarray to jax.Array on GPU
images = jnp.array(batch["image"])
target_tokens = jnp.array(batch["caption"], dtype=jnp.int32)
grad_fn = nnx.value_and_grad(
compute_losses_and_logits, has_aux=True, argnums=model_diffstate
)
(loss, _), grads = grad_fn(model, images, target_tokens)
optimizer.update(grads) # In-place updates.
return loss
@nnx.jit
def eval_step(
model: nnx.Module, batch: dict[str, np.ndarray], eval_metrics: nnx.MultiMetric
):
# Convert np.ndarray to jax.Array on GPU
images = jnp.array(batch["image"])
target_tokens = jnp.array(batch["caption"], dtype=jnp.int32)
loss, (pred_tokens, target_tokens) = compute_losses_and_logits(model, images, target_tokens)
eval_metrics.update(
loss=loss,
logits=pred_tokens,
labels=target_tokens,
)
eval_metrics = nnx.MultiMetric(
loss=nnx.metrics.Average('loss'),
accuracy=nnx.metrics.Accuracy(),
)
train_metrics_history = {
"train_loss": [],
}
eval_metrics_history = {
"test_loss": [],
"test_accuracy": [],
}
import tqdm
bar_format = "{desc}[{n_fmt}/{total_fmt}]{postfix} [{elapsed}<{remaining}]"
def train_one_epoch(epoch):
model.train() # Set model to the training mode: e.g. update batch statistics
with tqdm.tqdm(
desc=f"[train] epoch: {epoch}/{num_epochs}, ",
total=total_steps,
bar_format=bar_format,
leave=True,
) as pbar:
for batch in train_loader:
loss = train_step(model, optimizer, batch)
train_metrics_history["train_loss"].append(loss.item())
pbar.set_postfix({"loss": loss.item()})
pbar.update(1)
def evaluate_model(epoch):
# Compute the metrics on the train and val sets after each training epoch.
model.eval() # Set model to evaluation model: e.g. use stored batch statistics
eval_metrics.reset() # Reset the eval metrics
for test_batch in test_loader:
eval_step(model, test_batch, eval_metrics)
for metric, value in eval_metrics.compute().items():
eval_metrics_history[f'test_{metric}'].append(value)
print(f"[test] epoch: {epoch + 1}/{num_epochs}")
print(f"- total loss: {eval_metrics_history['test_loss'][-1]:0.4f}")
print(f"- Accuracy: {eval_metrics_history['test_accuracy'][-1]:0.4f}")
train_batch = next(iter(train_loader))
x = model.generate(train_batch["image"][:1])
y = tokenizer.decode(train_batch["caption"][0])
print("[train] Caption prediction:")
print(f"Expected caption: '{y}'")
print(f"Predicted caption: '{x}'")
print("")
x = model.generate(test_batch["image"][:1])
y = tokenizer.decode(test_batch["caption"][0])
print("[test] Caption prediction:")
print(f"Expected caption: '{y}'")
print(f"Predicted caption: '{x}'")
print("")
return eval_metrics_history["test_accuracy"][-1]
path = ocp.test_utils.erase_and_create_empty("/tmp/output-image-captioning-model/")
options = ocp.CheckpointManagerOptions(max_to_keep=2)
mngr = ocp.CheckpointManager(path, options=options)
def save_model(epoch):
state = nnx.state(model)
# We should convert PRNGKeyArray to the old format for Dropout layers
# https://github.com/google/flax/issues/4231
def get_key_data(x):
if isinstance(x, jax._src.prng.PRNGKeyArray):
if isinstance(x.dtype, jax._src.prng.KeyTy):
return jax.random.key_data(x)
return x
serializable_state = jax.tree.map(get_key_data, state)
mngr.save(epoch, args=ocp.args.StandardSave(serializable_state))
mngr.wait_until_finished()
%%time
test_every_epoch = 10
best_test_accuracy = 0.0
for epoch in range(num_epochs):
train_one_epoch(epoch)
if (epoch % test_every_epoch) == 0 or (epoch == num_epochs - 1):
test_accuracy = evaluate_model(epoch)
if test_accuracy > best_test_accuracy:
save_model(epoch)
best_test_accuracy = test_accuracy
[test] epoch: 1/200
- total loss: 3.6159
- Accuracy: 0.5479
[train] Caption prediction:
Expected caption: '[start]A black and brown dogs pulling a red leash[end] [start]A black dog chewing on a red leash[end] [start]A dog chews on his red leash[end] [start]A dog of dark color holds a red leash in his mouth[end] [start]a dog tugs on his red leash[end] !!!!!!!!!!!!!!!!!!!!!!!!!!!!!!!!!!!!!!!!!!!!!!!!!!!!!!!!!!!!!!!!!!!!!!!!!!'
Predicted caption: 'AA with a[[[[ [][ [] with [ [] with [ with the[[ a a a a a[ with the[[ with with a withend with a the with[ [end[ the with a a the the[[ with the with a the []A a the with the aend a a the the the with a aend a[ [ the[[ the [endend a with[ [ the with [ the a[ the[ the with the[ the[[ the[ the withend the with the[ the[ [ the [end a with [ the[ [ the a with[ the a[ the[ [end a the[ the with the[ the['
[test] Caption prediction:
Expected caption: '[start]A couple of people sit outdoors at a table with an umbrella and talk[end] [start]Three people are sitting at an outside picnic bench with an umbrella[end] [start]Three people sit at an outdoor cafe[end] [start]Three people sit at an outdoor table in front of a building painted like the Union Jack[end] [start]Three people sit at a picnic table outside of a building painted like a union jack[end] !!!!!!!!!!!!!!!!!!!!!!!!!!!!!!!!!!!!!!!!!!!!!!!!!!!!!'
Predicted caption: ' a of [ in [ of [ of inend [ of ofend [[ in [ of[ [ of[ instart in [ ofstartend [ of in[ [end instartstart of in [[ in [ in[ in [[ [endendend in [endend instartendstartend instartend [end[ in[start ofstart in[[ [A [end[ in [A[ in[ [ in[start instart[ in [Astartstartstartend instartstart[ [[ [Aend instart[ in [ in[ in [[ [Astartstart in [ ofstartstart in [ ofstartstartstart in[ [ in[ in [[ of [['
[test] epoch: 11/200
- total loss: 2.0915
- Accuracy: 0.6840
[train] Caption prediction:
Expected caption: '[start]A black and brown dogs pulling a red leash[end] [start]A black dog chewing on a red leash[end] [start]A dog chews on his red leash[end] [start]A dog of dark color holds a red leash in his mouth[end] [start]a dog tugs on his red leash[end] !!!!!!!!!!!!!!!!!!!!!!!!!!!!!!!!!!!!!!!!!!!!!!!!!!!!!!!!!!!!!!!!!!!!!!!!!!'
Predicted caption: 'A dog in the brown and the snow with the ball'
[test] Caption prediction:
Expected caption: '[start]A couple of people sit outdoors at a table with an umbrella and talk[end] [start]Three people are sitting at an outside picnic bench with an umbrella[end] [start]Three people sit at an outdoor cafe[end] [start]Three people sit at an outdoor table in front of a building painted like the Union Jack[end] [start]Three people sit at a picnic table outside of a building painted like a union jack[end] !!!!!!!!!!!!!!!!!!!!!!!!!!!!!!!!!!!!!!!!!!!!!!!!!!!!!'
Predicted caption: 'A boy wearing a large a street on the beach'
[test] epoch: 21/200
- total loss: 1.8263
- Accuracy: 0.7158
[train] Caption prediction:
Expected caption: '[start]A black and brown dogs pulling a red leash[end] [start]A black dog chewing on a red leash[end] [start]A dog chews on his red leash[end] [start]A dog of dark color holds a red leash in his mouth[end] [start]a dog tugs on his red leash[end] !!!!!!!!!!!!!!!!!!!!!!!!!!!!!!!!!!!!!!!!!!!!!!!!!!!!!!!!!!!!!!!!!!!!!!!!!!'
Predicted caption: 'A brown dog in the camera in a stick with the air'
[test] Caption prediction:
Expected caption: '[start]A couple of people sit outdoors at a table with an umbrella and talk[end] [start]Three people are sitting at an outside picnic bench with an umbrella[end] [start]Three people sit at an outdoor cafe[end] [start]Three people sit at an outdoor table in front of a building painted like the Union Jack[end] [start]Three people sit at a picnic table outside of a building painted like a union jack[end] !!!!!!!!!!!!!!!!!!!!!!!!!!!!!!!!!!!!!!!!!!!!!!!!!!!!!'
Predicted caption: 'A group of people standing with an other at a woman are in front of the beach'
[test] epoch: 31/200
- total loss: 1.7046
- Accuracy: 0.7249
[train] Caption prediction:
Expected caption: '[start]A black and brown dogs pulling a red leash[end] [start]A black dog chewing on a red leash[end] [start]A dog chews on his red leash[end] [start]A dog of dark color holds a red leash in his mouth[end] [start]a dog tugs on his red leash[end] !!!!!!!!!!!!!!!!!!!!!!!!!!!!!!!!!!!!!!!!!!!!!!!!!!!!!!!!!!!!!!!!!!!!!!!!!!'
Predicted caption: 'A brown dog runs through a brown dog in a grass'
[test] Caption prediction:
Expected caption: '[start]A couple of people sit outdoors at a table with an umbrella and talk[end] [start]Three people are sitting at an outside picnic bench with an umbrella[end] [start]Three people sit at an outdoor cafe[end] [start]Three people sit at an outdoor table in front of a building painted like the Union Jack[end] [start]Three people sit at a picnic table outside of a building painted like a union jack[end] !!!!!!!!!!!!!!!!!!!!!!!!!!!!!!!!!!!!!!!!!!!!!!!!!!!!!'
Predicted caption: 'A woman wearing a woman wearing a city hat in the city and black'
[test] epoch: 41/200
- total loss: 1.6248
- Accuracy: 0.7318
[train] Caption prediction:
Expected caption: '[start]A black and brown dogs pulling a red leash[end] [start]A black dog chewing on a red leash[end] [start]A dog chews on his red leash[end] [start]A dog of dark color holds a red leash in his mouth[end] [start]a dog tugs on his red leash[end] !!!!!!!!!!!!!!!!!!!!!!!!!!!!!!!!!!!!!!!!!!!!!!!!!!!!!!!!!!!!!!!!!!!!!!!!!!'
Predicted caption: 'A black and white dog and black and brown dog and white dog'
[test] Caption prediction:
Expected caption: '[start]A couple of people sit outdoors at a table with an umbrella and talk[end] [start]Three people are sitting at an outside picnic bench with an umbrella[end] [start]Three people sit at an outdoor cafe[end] [start]Three people sit at an outdoor table in front of a building painted like the Union Jack[end] [start]Three people sit at a picnic table outside of a building painted like a union jack[end] !!!!!!!!!!!!!!!!!!!!!!!!!!!!!!!!!!!!!!!!!!!!!!!!!!!!!'
Predicted caption: 'A woman wearing a white hat black is standing in the road in the red is looking at the road'
[test] epoch: 51/200
- total loss: 1.5667
- Accuracy: 0.7364
[train] Caption prediction:
Expected caption: '[start]A black and brown dogs pulling a red leash[end] [start]A black dog chewing on a red leash[end] [start]A dog chews on his red leash[end] [start]A dog of dark color holds a red leash in his mouth[end] [start]a dog tugs on his red leash[end] !!!!!!!!!!!!!!!!!!!!!!!!!!!!!!!!!!!!!!!!!!!!!!!!!!!!!!!!!!!!!!!!!!!!!!!!!!'
Predicted caption: 'A brown dog with his dog on a large black and the snow'
[test] Caption prediction:
Expected caption: '[start]A couple of people sit outdoors at a table with an umbrella and talk[end] [start]Three people are sitting at an outside picnic bench with an umbrella[end] [start]Three people sit at an outdoor cafe[end] [start]Three people sit at an outdoor table in front of a building painted like the Union Jack[end] [start]Three people sit at a picnic table outside of a building painted like a union jack[end] !!!!!!!!!!!!!!!!!!!!!!!!!!!!!!!!!!!!!!!!!!!!!!!!!!!!!'
Predicted caption: 'A couple and woman sit at an adult is standing outside a stone road'
[test] epoch: 61/200
- total loss: 1.5207
- Accuracy: 0.7393
[train] Caption prediction:
Expected caption: '[start]A black and brown dogs pulling a red leash[end] [start]A black dog chewing on a red leash[end] [start]A dog chews on his red leash[end] [start]A dog of dark color holds a red leash in his mouth[end] [start]a dog tugs on his red leash[end] !!!!!!!!!!!!!!!!!!!!!!!!!!!!!!!!!!!!!!!!!!!!!!!!!!!!!!!!!!!!!!!!!!!!!!!!!!'
Predicted caption: 'A black and brown dog are running down the snow'
[test] Caption prediction:
Expected caption: '[start]A couple of people sit outdoors at a table with an umbrella and talk[end] [start]Three people are sitting at an outside picnic bench with an umbrella[end] [start]Three people sit at an outdoor cafe[end] [start]Three people sit at an outdoor table in front of a building painted like the Union Jack[end] [start]Three people sit at a picnic table outside of a building painted like a union jack[end] !!!!!!!!!!!!!!!!!!!!!!!!!!!!!!!!!!!!!!!!!!!!!!!!!!!!!'
Predicted caption: 'A couple sitting at an obstacle by an obstacle at an older group of the camera'
[test] epoch: 71/200
- total loss: 1.4856
- Accuracy: 0.7424
[train] Caption prediction:
Expected caption: '[start]A black and brown dogs pulling a red leash[end] [start]A black dog chewing on a red leash[end] [start]A dog chews on his red leash[end] [start]A dog of dark color holds a red leash in his mouth[end] [start]a dog tugs on his red leash[end] !!!!!!!!!!!!!!!!!!!!!!!!!!!!!!!!!!!!!!!!!!!!!!!!!!!!!!!!!!!!!!!!!!!!!!!!!!'
Predicted caption: 'A brown dog with his dog on his tongue'
[test] Caption prediction:
Expected caption: '[start]A couple of people sit outdoors at a table with an umbrella and talk[end] [start]Three people are sitting at an outside picnic bench with an umbrella[end] [start]Three people sit at an outdoor cafe[end] [start]Three people sit at an outdoor table in front of a building painted like the Union Jack[end] [start]Three people sit at a picnic table outside of a building painted like a union jack[end] !!!!!!!!!!!!!!!!!!!!!!!!!!!!!!!!!!!!!!!!!!!!!!!!!!!!!'
Predicted caption: 'A couple and two children sitting in the city of an obstacle'
[test] epoch: 81/200
- total loss: 1.4545
- Accuracy: 0.7457
[train] Caption prediction:
Expected caption: '[start]A black and brown dogs pulling a red leash[end] [start]A black dog chewing on a red leash[end] [start]A dog chews on his red leash[end] [start]A dog of dark color holds a red leash in his mouth[end] [start]a dog tugs on his red leash[end] !!!!!!!!!!!!!!!!!!!!!!!!!!!!!!!!!!!!!!!!!!!!!!!!!!!!!!!!!!!!!!!!!!!!!!!!!!'
Predicted caption: 'A black and brown dog with his dog are biting his head in its mouth'
[test] Caption prediction:
Expected caption: '[start]A couple of people sit outdoors at a table with an umbrella and talk[end] [start]Three people are sitting at an outside picnic bench with an umbrella[end] [start]Three people sit at an outdoor cafe[end] [start]Three people sit at an outdoor table in front of a building painted like the Union Jack[end] [start]Three people sit at a picnic table outside of a building painted like a union jack[end] !!!!!!!!!!!!!!!!!!!!!!!!!!!!!!!!!!!!!!!!!!!!!!!!!!!!!'
Predicted caption: 'A couple and two children sitting down the background'
[test] epoch: 91/200
- total loss: 1.4289
- Accuracy: 0.7485
[train] Caption prediction:
Expected caption: '[start]A black and brown dogs pulling a red leash[end] [start]A black dog chewing on a red leash[end] [start]A dog chews on his red leash[end] [start]A dog of dark color holds a red leash in his mouth[end] [start]a dog tugs on his red leash[end] !!!!!!!!!!!!!!!!!!!!!!!!!!!!!!!!!!!!!!!!!!!!!!!!!!!!!!!!!!!!!!!!!!!!!!!!!!'
Predicted caption: 'A black and brown dog and black dog in a grass'
[test] Caption prediction:
Expected caption: '[start]A couple of people sit outdoors at a table with an umbrella and talk[end] [start]Three people are sitting at an outside picnic bench with an umbrella[end] [start]Three people sit at an outdoor cafe[end] [start]Three people sit at an outdoor table in front of a building painted like the Union Jack[end] [start]Three people sit at a picnic table outside of a building painted like a union jack[end] !!!!!!!!!!!!!!!!!!!!!!!!!!!!!!!!!!!!!!!!!!!!!!!!!!!!!'
Predicted caption: 'A couple and woman in red shorts are walking through a large stone path'
[test] epoch: 101/200
- total loss: 1.4062
- Accuracy: 0.7503
[train] Caption prediction:
Expected caption: '[start]A black and brown dogs pulling a red leash[end] [start]A black dog chewing on a red leash[end] [start]A dog chews on his red leash[end] [start]A dog of dark color holds a red leash in his mouth[end] [start]a dog tugs on his red leash[end] !!!!!!!!!!!!!!!!!!!!!!!!!!!!!!!!!!!!!!!!!!!!!!!!!!!!!!!!!!!!!!!!!!!!!!!!!!'
Predicted caption: 'A black and black dog in the black dog are biting another black dog on a rope'
[test] Caption prediction:
Expected caption: '[start]A couple of people sit outdoors at a table with an umbrella and talk[end] [start]Three people are sitting at an outside picnic bench with an umbrella[end] [start]Three people sit at an outdoor cafe[end] [start]Three people sit at an outdoor table in front of a building painted like the Union Jack[end] [start]Three people sit at a picnic table outside of a building painted like a union jack[end] !!!!!!!!!!!!!!!!!!!!!!!!!!!!!!!!!!!!!!!!!!!!!!!!!!!!!'
Predicted caption: 'A couple sit at an old couple of an older woman and sit in the distance'
[test] epoch: 111/200
- total loss: 1.3891
- Accuracy: 0.7521
[train] Caption prediction:
Expected caption: '[start]A black and brown dogs pulling a red leash[end] [start]A black dog chewing on a red leash[end] [start]A dog chews on his red leash[end] [start]A dog of dark color holds a red leash in his mouth[end] [start]a dog tugs on his red leash[end] !!!!!!!!!!!!!!!!!!!!!!!!!!!!!!!!!!!!!!!!!!!!!!!!!!!!!!!!!!!!!!!!!!!!!!!!!!'
Predicted caption: 'A brown dog with his face up a leash is laying in his mouth'
[test] Caption prediction:
Expected caption: '[start]A couple of people sit outdoors at a table with an umbrella and talk[end] [start]Three people are sitting at an outside picnic bench with an umbrella[end] [start]Three people sit at an outdoor cafe[end] [start]Three people sit at an outdoor table in front of a building painted like the Union Jack[end] [start]Three people sit at a picnic table outside of a building painted like a union jack[end] !!!!!!!!!!!!!!!!!!!!!!!!!!!!!!!!!!!!!!!!!!!!!!!!!!!!!'
Predicted caption: 'A couple sit at an older people stand near the top of the end of the steps'
[test] epoch: 121/200
- total loss: 1.3739
- Accuracy: 0.7538
[train] Caption prediction:
Expected caption: '[start]A black and brown dogs pulling a red leash[end] [start]A black dog chewing on a red leash[end] [start]A dog chews on his red leash[end] [start]A dog of dark color holds a red leash in his mouth[end] [start]a dog tugs on his red leash[end] !!!!!!!!!!!!!!!!!!!!!!!!!!!!!!!!!!!!!!!!!!!!!!!!!!!!!!!!!!!!!!!!!!!!!!!!!!'
Predicted caption: 'A black and black dog standing on the camera with his teeth in his mouth'
[test] Caption prediction:
Expected caption: '[start]A couple of people sit outdoors at a table with an umbrella and talk[end] [start]Three people are sitting at an outside picnic bench with an umbrella[end] [start]Three people sit at an outdoor cafe[end] [start]Three people sit at an outdoor table in front of a building painted like the Union Jack[end] [start]Three people sit at a picnic table outside of a building painted like a union jack[end] !!!!!!!!!!!!!!!!!!!!!!!!!!!!!!!!!!!!!!!!!!!!!!!!!!!!!'
Predicted caption: 'A couple sit at an old people stand under an event'
[test] epoch: 131/200
- total loss: 1.3610
- Accuracy: 0.7554
[train] Caption prediction:
Expected caption: '[start]A black and brown dogs pulling a red leash[end] [start]A black dog chewing on a red leash[end] [start]A dog chews on his red leash[end] [start]A dog of dark color holds a red leash in his mouth[end] [start]a dog tugs on his red leash[end] !!!!!!!!!!!!!!!!!!!!!!!!!!!!!!!!!!!!!!!!!!!!!!!!!!!!!!!!!!!!!!!!!!!!!!!!!!'
Predicted caption: 'A black and black dog and brown dog is laying on a grassy field'
[test] Caption prediction:
Expected caption: '[start]A couple of people sit outdoors at a table with an umbrella and talk[end] [start]Three people are sitting at an outside picnic bench with an umbrella[end] [start]Three people sit at an outdoor cafe[end] [start]Three people sit at an outdoor table in front of a building painted like the Union Jack[end] [start]Three people sit at a picnic table outside of a building painted like a union jack[end] !!!!!!!!!!!!!!!!!!!!!!!!!!!!!!!!!!!!!!!!!!!!!!!!!!!!!'
Predicted caption: 'A couple sit at an old couple of an old couple and people look over the top of an obstacle'
[test] epoch: 141/200
- total loss: 1.3499
- Accuracy: 0.7564
[train] Caption prediction:
Expected caption: '[start]A black and brown dogs pulling a red leash[end] [start]A black dog chewing on a red leash[end] [start]A dog chews on his red leash[end] [start]A dog of dark color holds a red leash in his mouth[end] [start]a dog tugs on his red leash[end] !!!!!!!!!!!!!!!!!!!!!!!!!!!!!!!!!!!!!!!!!!!!!!!!!!!!!!!!!!!!!!!!!!!!!!!!!!'
Predicted caption: 'A black and black dog biting his tongue hanging from another black dog'
[test] Caption prediction:
Expected caption: '[start]A couple of people sit outdoors at a table with an umbrella and talk[end] [start]Three people are sitting at an outside picnic bench with an umbrella[end] [start]Three people sit at an outdoor cafe[end] [start]Three people sit at an outdoor table in front of a building painted like the Union Jack[end] [start]Three people sit at a picnic table outside of a building painted like a union jack[end] !!!!!!!!!!!!!!!!!!!!!!!!!!!!!!!!!!!!!!!!!!!!!!!!!!!!!'
Predicted caption: 'A bunch of people sitting down the steps'
[test] epoch: 151/200
- total loss: 1.3412
- Accuracy: 0.7573
[train] Caption prediction:
Expected caption: '[start]A black and brown dogs pulling a red leash[end] [start]A black dog chewing on a red leash[end] [start]A dog chews on his red leash[end] [start]A dog of dark color holds a red leash in his mouth[end] [start]a dog tugs on his red leash[end] !!!!!!!!!!!!!!!!!!!!!!!!!!!!!!!!!!!!!!!!!!!!!!!!!!!!!!!!!!!!!!!!!!!!!!!!!!'
Predicted caption: 'A black and brown dog and a red dog standing next to the side of the water'
[test] Caption prediction:
Expected caption: '[start]A couple of people sit outdoors at a table with an umbrella and talk[end] [start]Three people are sitting at an outside picnic bench with an umbrella[end] [start]Three people sit at an outdoor cafe[end] [start]Three people sit at an outdoor table in front of a building painted like the Union Jack[end] [start]Three people sit at a picnic table outside of a building painted like a union jack[end] !!!!!!!!!!!!!!!!!!!!!!!!!!!!!!!!!!!!!!!!!!!!!!!!!!!!!'
Predicted caption: 'A bunch of people are walking on the front of a table outside of an obstacle'
[test] epoch: 161/200
- total loss: 1.3343
- Accuracy: 0.7578
[train] Caption prediction:
Expected caption: '[start]A black and brown dogs pulling a red leash[end] [start]A black dog chewing on a red leash[end] [start]A dog chews on his red leash[end] [start]A dog of dark color holds a red leash in his mouth[end] [start]a dog tugs on his red leash[end] !!!!!!!!!!!!!!!!!!!!!!!!!!!!!!!!!!!!!!!!!!!!!!!!!!!!!!!!!!!!!!!!!!!!!!!!!!'
Predicted caption: 'A black and black dog chewing on the red and looks on a leash'
[test] Caption prediction:
Expected caption: '[start]A couple of people sit outdoors at a table with an umbrella and talk[end] [start]Three people are sitting at an outside picnic bench with an umbrella[end] [start]Three people sit at an outdoor cafe[end] [start]Three people sit at an outdoor table in front of a building painted like the Union Jack[end] [start]Three people sit at a picnic table outside of a building painted like a union jack[end] !!!!!!!!!!!!!!!!!!!!!!!!!!!!!!!!!!!!!!!!!!!!!!!!!!!!!'
Predicted caption: 'A bunch of people are walking on the road and walking under an outdoor tent'
[test] epoch: 171/200
- total loss: 1.3293
- Accuracy: 0.7587
[train] Caption prediction:
Expected caption: '[start]A black and brown dogs pulling a red leash[end] [start]A black dog chewing on a red leash[end] [start]A dog chews on his red leash[end] [start]A dog of dark color holds a red leash in his mouth[end] [start]a dog tugs on his red leash[end] !!!!!!!!!!!!!!!!!!!!!!!!!!!!!!!!!!!!!!!!!!!!!!!!!!!!!!!!!!!!!!!!!!!!!!!!!!'
Predicted caption: 'A black and brown dog are walking along the dirt path'
[test] Caption prediction:
Expected caption: '[start]A couple of people sit outdoors at a table with an umbrella and talk[end] [start]Three people are sitting at an outside picnic bench with an umbrella[end] [start]Three people sit at an outdoor cafe[end] [start]Three people sit at an outdoor table in front of a building painted like the Union Jack[end] [start]Three people sit at a picnic table outside of a building painted like a union jack[end] !!!!!!!!!!!!!!!!!!!!!!!!!!!!!!!!!!!!!!!!!!!!!!!!!!!!!'
Predicted caption: 'A bunch of people are walking on the steps outside a tree'
[test] epoch: 181/200
- total loss: 1.3258
- Accuracy: 0.7589
[train] Caption prediction:
Expected caption: '[start]A black and brown dogs pulling a red leash[end] [start]A black dog chewing on a red leash[end] [start]A dog chews on his red leash[end] [start]A dog of dark color holds a red leash in his mouth[end] [start]a dog tugs on his red leash[end] !!!!!!!!!!!!!!!!!!!!!!!!!!!!!!!!!!!!!!!!!!!!!!!!!!!!!!!!!!!!!!!!!!!!!!!!!!'
Predicted caption: 'A black and brown dog biting the other brown and orange'
[test] Caption prediction:
Expected caption: '[start]A couple of people sit outdoors at a table with an umbrella and talk[end] [start]Three people are sitting at an outside picnic bench with an umbrella[end] [start]Three people sit at an outdoor cafe[end] [start]Three people sit at an outdoor table in front of a building painted like the Union Jack[end] [start]Three people sit at a picnic table outside of a building painted like a union jack[end] !!!!!!!!!!!!!!!!!!!!!!!!!!!!!!!!!!!!!!!!!!!!!!!!!!!!!'
Predicted caption: 'A bunch of people are walking on the steps outside a table with her and people are looking out of the window'
[test] epoch: 191/200
- total loss: 1.3220
- Accuracy: 0.7592
[train] Caption prediction:
Expected caption: '[start]A black and brown dogs pulling a red leash[end] [start]A black dog chewing on a red leash[end] [start]A dog chews on his red leash[end] [start]A dog of dark color holds a red leash in his mouth[end] [start]a dog tugs on his red leash[end] !!!!!!!!!!!!!!!!!!!!!!!!!!!!!!!!!!!!!!!!!!!!!!!!!!!!!!!!!!!!!!!!!!!!!!!!!!'
Predicted caption: 'A black and brown dog biting another black dog'
[test] Caption prediction:
Expected caption: '[start]A couple of people sit outdoors at a table with an umbrella and talk[end] [start]Three people are sitting at an outside picnic bench with an umbrella[end] [start]Three people sit at an outdoor cafe[end] [start]Three people sit at an outdoor table in front of a building painted like the Union Jack[end] [start]Three people sit at a picnic table outside of a building painted like a union jack[end] !!!!!!!!!!!!!!!!!!!!!!!!!!!!!!!!!!!!!!!!!!!!!!!!!!!!!'
Predicted caption: 'A bunch of people are walking on the steps outside a table with people walking on it'
[test] epoch: 200/200
- total loss: 1.3215
- Accuracy: 0.7591
[train] Caption prediction:
Expected caption: '[start]A black and brown dogs pulling a red leash[end] [start]A black dog chewing on a red leash[end] [start]A dog chews on his red leash[end] [start]A dog of dark color holds a red leash in his mouth[end] [start]a dog tugs on his red leash[end] !!!!!!!!!!!!!!!!!!!!!!!!!!!!!!!!!!!!!!!!!!!!!!!!!!!!!!!!!!!!!!!!!!!!!!!!!!'
Predicted caption: 'A black and brown dog biting the face of the water'
[test] Caption prediction:
Expected caption: '[start]A couple of people sit outdoors at a table with an umbrella and talk[end] [start]Three people are sitting at an outside picnic bench with an umbrella[end] [start]Three people sit at an outdoor cafe[end] [start]Three people sit at an outdoor table in front of a building painted like the Union Jack[end] [start]Three people sit at a picnic table outside of a building painted like a union jack[end] !!!!!!!!!!!!!!!!!!!!!!!!!!!!!!!!!!!!!!!!!!!!!!!!!!!!!'
Predicted caption: 'A bunch of people are walking on the lawn with an outdoor tent and the background'
CPU times: user 24min 48s, sys: 5min 4s, total: 29min 53s
Wall time: 1h 29min 52s
[train] epoch: 0/200, [0/30] [00:00<?]2024-11-27 13:31:46.330161: W external/xla/xla/service/hlo_rematerialization.cc:3005] Can't reduce memory use below 17.78GiB (19093871438 bytes) by rematerialization; only reduced to 18.33GiB (19681631480 bytes), down from 23.66GiB (25409501748 bytes) originally
[train] epoch: 0/200, [28/30], loss=3.6 [01:28<00:06]
[train] epoch: 1/200, [28/30], loss=2.85 [00:23<00:01]
[train] epoch: 2/200, [28/30], loss=2.61 [00:23<00:01]
[train] epoch: 3/200, [28/30], loss=2.48 [00:23<00:01]
[train] epoch: 4/200, [28/30], loss=2.38 [00:23<00:01]
[train] epoch: 5/200, [28/30], loss=2.31 [00:23<00:01]
[train] epoch: 6/200, [28/30], loss=2.24 [00:24<00:01]
[train] epoch: 7/200, [28/30], loss=2.18 [00:23<00:01]
[train] epoch: 8/200, [28/30], loss=2.12 [00:23<00:01]
[train] epoch: 9/200, [28/30], loss=2.07 [00:23<00:01]
[train] epoch: 10/200, [28/30], loss=2.02 [00:23<00:01]
[train] epoch: 11/200, [28/30], loss=1.98 [00:23<00:01]
[train] epoch: 12/200, [28/30], loss=1.95 [00:24<00:01]
[train] epoch: 13/200, [28/30], loss=1.91 [00:23<00:01]
[train] epoch: 14/200, [28/30], loss=1.88 [00:24<00:01]
[train] epoch: 15/200, [28/30], loss=1.85 [00:24<00:01]
[train] epoch: 16/200, [28/30], loss=1.83 [00:24<00:01]
[train] epoch: 17/200, [28/30], loss=1.81 [00:24<00:01]
[train] epoch: 18/200, [28/30], loss=1.79 [00:23<00:01]
[train] epoch: 19/200, [28/30], loss=1.77 [00:24<00:01]
[train] epoch: 20/200, [28/30], loss=1.75 [00:24<00:01]
[train] epoch: 21/200, [28/30], loss=1.73 [00:23<00:01]
[train] epoch: 22/200, [28/30], loss=1.72 [00:23<00:01]
[train] epoch: 23/200, [28/30], loss=1.7 [00:24<00:01]
[train] epoch: 24/200, [28/30], loss=1.69 [00:24<00:01]
[train] epoch: 25/200, [28/30], loss=1.67 [00:24<00:01]
[train] epoch: 26/200, [28/30], loss=1.66 [00:24<00:01]
[train] epoch: 27/200, [28/30], loss=1.65 [00:24<00:01]
[train] epoch: 28/200, [28/30], loss=1.64 [00:23<00:01]
[train] epoch: 29/200, [28/30], loss=1.63 [00:24<00:01]
[train] epoch: 30/200, [28/30], loss=1.61 [00:23<00:01]
[train] epoch: 31/200, [28/30], loss=1.6 [00:23<00:01]
[train] epoch: 32/200, [28/30], loss=1.59 [00:24<00:01]
[train] epoch: 33/200, [28/30], loss=1.58 [00:23<00:01]
[train] epoch: 34/200, [28/30], loss=1.57 [00:23<00:01]
[train] epoch: 35/200, [28/30], loss=1.56 [00:24<00:01]
[train] epoch: 36/200, [28/30], loss=1.56 [00:23<00:01]
[train] epoch: 37/200, [28/30], loss=1.54 [00:23<00:01]
[train] epoch: 38/200, [28/30], loss=1.54 [00:23<00:01]
[train] epoch: 39/200, [28/30], loss=1.53 [00:23<00:01]
[train] epoch: 40/200, [28/30], loss=1.52 [00:24<00:01]
[train] epoch: 41/200, [28/30], loss=1.52 [00:23<00:01]
[train] epoch: 42/200, [28/30], loss=1.5 [00:23<00:01]
[train] epoch: 43/200, [28/30], loss=1.5 [00:23<00:01]
[train] epoch: 44/200, [28/30], loss=1.49 [00:24<00:01]
[train] epoch: 45/200, [28/30], loss=1.49 [00:23<00:01]
[train] epoch: 46/200, [28/30], loss=1.48 [00:23<00:01]
[train] epoch: 47/200, [28/30], loss=1.47 [00:23<00:01]
[train] epoch: 48/200, [28/30], loss=1.46 [00:23<00:01]
[train] epoch: 49/200, [28/30], loss=1.46 [00:24<00:01]
[train] epoch: 50/200, [28/30], loss=1.45 [00:23<00:01]
[train] epoch: 51/200, [28/30], loss=1.45 [00:23<00:01]
[train] epoch: 52/200, [28/30], loss=1.44 [00:23<00:01]
[train] epoch: 53/200, [28/30], loss=1.43 [00:23<00:01]
[train] epoch: 54/200, [28/30], loss=1.42 [00:23<00:01]
[train] epoch: 55/200, [28/30], loss=1.41 [00:23<00:01]
[train] epoch: 56/200, [28/30], loss=1.41 [00:24<00:01]
[train] epoch: 57/200, [28/30], loss=1.4 [00:23<00:01]
[train] epoch: 58/200, [28/30], loss=1.4 [00:23<00:01]
[train] epoch: 59/200, [28/30], loss=1.39 [00:23<00:01]
[train] epoch: 60/200, [28/30], loss=1.39 [00:24<00:01]
[train] epoch: 61/200, [28/30], loss=1.38 [00:23<00:01]
[train] epoch: 62/200, [28/30], loss=1.38 [00:23<00:01]
[train] epoch: 63/200, [28/30], loss=1.37 [00:23<00:01]
[train] epoch: 64/200, [28/30], loss=1.37 [00:23<00:01]
[train] epoch: 65/200, [28/30], loss=1.36 [00:23<00:01]
[train] epoch: 66/200, [28/30], loss=1.36 [00:23<00:01]
[train] epoch: 67/200, [28/30], loss=1.35 [00:23<00:01]
[train] epoch: 68/200, [28/30], loss=1.35 [00:23<00:01]
[train] epoch: 69/200, [28/30], loss=1.34 [00:23<00:01]
[train] epoch: 70/200, [28/30], loss=1.34 [00:23<00:01]
[train] epoch: 71/200, [28/30], loss=1.33 [00:23<00:01]
[train] epoch: 72/200, [28/30], loss=1.33 [00:23<00:01]
[train] epoch: 73/200, [28/30], loss=1.32 [00:23<00:01]
[train] epoch: 74/200, [28/30], loss=1.32 [00:23<00:01]
[train] epoch: 75/200, [28/30], loss=1.31 [00:23<00:01]
[train] epoch: 76/200, [28/30], loss=1.31 [00:23<00:01]
[train] epoch: 77/200, [28/30], loss=1.31 [00:24<00:01]
[train] epoch: 78/200, [28/30], loss=1.3 [00:24<00:01]
[train] epoch: 79/200, [28/30], loss=1.29 [00:24<00:01]
[train] epoch: 80/200, [28/30], loss=1.3 [00:23<00:01]
[train] epoch: 81/200, [28/30], loss=1.28 [00:23<00:01]
[train] epoch: 82/200, [28/30], loss=1.28 [00:23<00:01]
[train] epoch: 83/200, [28/30], loss=1.28 [00:23<00:01]
[train] epoch: 84/200, [28/30], loss=1.27 [00:23<00:01]
[train] epoch: 85/200, [28/30], loss=1.27 [00:23<00:01]
[train] epoch: 86/200, [28/30], loss=1.26 [00:23<00:01]
[train] epoch: 87/200, [28/30], loss=1.26 [00:23<00:01]
[train] epoch: 88/200, [28/30], loss=1.26 [00:23<00:01]
[train] epoch: 89/200, [28/30], loss=1.25 [00:23<00:01]
[train] epoch: 90/200, [28/30], loss=1.25 [00:23<00:01]
[train] epoch: 91/200, [28/30], loss=1.24 [00:23<00:01]
[train] epoch: 92/200, [28/30], loss=1.24 [00:23<00:01]
[train] epoch: 93/200, [28/30], loss=1.24 [00:23<00:01]
[train] epoch: 94/200, [28/30], loss=1.23 [00:23<00:01]
[train] epoch: 95/200, [28/30], loss=1.23 [00:23<00:01]
[train] epoch: 96/200, [28/30], loss=1.23 [00:23<00:01]
[train] epoch: 97/200, [28/30], loss=1.22 [00:23<00:01]
[train] epoch: 98/200, [28/30], loss=1.22 [00:24<00:01]
[train] epoch: 99/200, [28/30], loss=1.21 [00:24<00:01]
[train] epoch: 100/200, [28/30], loss=1.21 [00:23<00:01]
[train] epoch: 101/200, [28/30], loss=1.2 [00:24<00:01]
[train] epoch: 102/200, [28/30], loss=1.2 [00:23<00:01]
[train] epoch: 103/200, [28/30], loss=1.2 [00:24<00:01]
[train] epoch: 104/200, [28/30], loss=1.2 [00:23<00:01]
[train] epoch: 105/200, [28/30], loss=1.19 [00:23<00:01]
[train] epoch: 106/200, [28/30], loss=1.19 [00:23<00:01]
[train] epoch: 107/200, [28/30], loss=1.18 [00:23<00:01]
[train] epoch: 108/200, [28/30], loss=1.18 [00:23<00:01]
[train] epoch: 109/200, [28/30], loss=1.18 [00:24<00:01]
[train] epoch: 110/200, [28/30], loss=1.17 [00:24<00:01]
[train] epoch: 111/200, [28/30], loss=1.17 [00:23<00:01]
[train] epoch: 112/200, [28/30], loss=1.17 [00:23<00:01]
[train] epoch: 113/200, [28/30], loss=1.16 [00:23<00:01]
[train] epoch: 114/200, [28/30], loss=1.16 [00:23<00:01]
[train] epoch: 115/200, [28/30], loss=1.15 [00:23<00:01]
[train] epoch: 116/200, [28/30], loss=1.15 [00:23<00:01]
[train] epoch: 117/200, [28/30], loss=1.14 [00:23<00:01]
[train] epoch: 118/200, [28/30], loss=1.15 [00:23<00:01]
[train] epoch: 119/200, [28/30], loss=1.14 [00:23<00:01]
[train] epoch: 120/200, [28/30], loss=1.14 [00:23<00:01]
[train] epoch: 121/200, [28/30], loss=1.14 [00:23<00:01]
[train] epoch: 122/200, [28/30], loss=1.13 [00:23<00:01]
[train] epoch: 123/200, [28/30], loss=1.13 [00:24<00:01]
[train] epoch: 124/200, [28/30], loss=1.13 [00:24<00:01]
[train] epoch: 125/200, [28/30], loss=1.13 [00:23<00:01]
[train] epoch: 126/200, [28/30], loss=1.12 [00:23<00:01]
[train] epoch: 127/200, [28/30], loss=1.12 [00:23<00:01]
[train] epoch: 128/200, [28/30], loss=1.12 [00:23<00:01]
[train] epoch: 129/200, [28/30], loss=1.11 [00:23<00:01]
[train] epoch: 130/200, [28/30], loss=1.11 [00:23<00:01]
[train] epoch: 131/200, [28/30], loss=1.11 [00:24<00:01]
[train] epoch: 132/200, [28/30], loss=1.1 [00:23<00:01]
[train] epoch: 133/200, [28/30], loss=1.1 [00:24<00:01]
[train] epoch: 134/200, [28/30], loss=1.1 [00:24<00:01]
[train] epoch: 135/200, [28/30], loss=1.09 [00:23<00:01]
[train] epoch: 136/200, [28/30], loss=1.09 [00:24<00:01]
[train] epoch: 137/200, [28/30], loss=1.09 [00:23<00:01]
[train] epoch: 138/200, [28/30], loss=1.09 [00:23<00:01]
[train] epoch: 139/200, [28/30], loss=1.09 [00:23<00:01]
[train] epoch: 140/200, [28/30], loss=1.08 [00:23<00:01]
[train] epoch: 141/200, [28/30], loss=1.08 [00:23<00:01]
[train] epoch: 142/200, [28/30], loss=1.07 [00:23<00:01]
[train] epoch: 143/200, [28/30], loss=1.07 [00:23<00:01]
[train] epoch: 144/200, [28/30], loss=1.07 [00:23<00:01]
[train] epoch: 145/200, [28/30], loss=1.07 [00:23<00:01]
[train] epoch: 146/200, [28/30], loss=1.07 [00:23<00:01]
[train] epoch: 147/200, [28/30], loss=1.06 [00:23<00:01]
[train] epoch: 148/200, [28/30], loss=1.06 [00:23<00:01]
[train] epoch: 149/200, [28/30], loss=1.05 [00:23<00:01]
[train] epoch: 150/200, [28/30], loss=1.05 [00:24<00:01]
[train] epoch: 151/200, [28/30], loss=1.05 [00:23<00:01]
[train] epoch: 152/200, [28/30], loss=1.04 [00:23<00:01]
[train] epoch: 153/200, [28/30], loss=1.04 [00:24<00:01]
[train] epoch: 154/200, [28/30], loss=1.04 [00:24<00:01]
[train] epoch: 155/200, [28/30], loss=1.04 [00:23<00:01]
[train] epoch: 156/200, [28/30], loss=1.04 [00:23<00:01]
[train] epoch: 157/200, [28/30], loss=1.03 [00:23<00:01]
[train] epoch: 158/200, [28/30], loss=1.03 [00:23<00:01]
[train] epoch: 159/200, [28/30], loss=1.03 [00:23<00:01]
[train] epoch: 160/200, [28/30], loss=1.03 [00:24<00:01]
[train] epoch: 161/200, [28/30], loss=1.02 [00:23<00:01]
[train] epoch: 162/200, [28/30], loss=1.02 [00:24<00:01]
[train] epoch: 163/200, [28/30], loss=1.02 [00:24<00:01]
[train] epoch: 164/200, [28/30], loss=1.01 [00:24<00:01]
[train] epoch: 165/200, [28/30], loss=1.01 [00:23<00:01]
[train] epoch: 166/200, [28/30], loss=1.01 [00:24<00:01]
[train] epoch: 167/200, [28/30], loss=1.01 [00:23<00:01]
[train] epoch: 168/200, [28/30], loss=1.01 [00:23<00:01]
[train] epoch: 169/200, [28/30], loss=1 [00:23<00:01]
[train] epoch: 170/200, [28/30], loss=0.996 [00:24<00:01]
[train] epoch: 171/200, [28/30], loss=0.996 [00:24<00:01]
[train] epoch: 172/200, [28/30], loss=0.994 [00:24<00:01]
[train] epoch: 173/200, [28/30], loss=0.995 [00:24<00:01]
[train] epoch: 174/200, [28/30], loss=0.99 [00:23<00:01]
[train] epoch: 175/200, [28/30], loss=0.987 [00:24<00:01]
[train] epoch: 176/200, [28/30], loss=0.982 [00:24<00:01]
[train] epoch: 177/200, [28/30], loss=0.978 [00:24<00:01]
[train] epoch: 178/200, [28/30], loss=0.978 [00:24<00:01]
[train] epoch: 179/200, [28/30], loss=0.976 [00:23<00:01]
[train] epoch: 180/200, [28/30], loss=0.97 [00:23<00:01]
[train] epoch: 181/200, [28/30], loss=0.97 [00:23<00:01]
[train] epoch: 182/200, [28/30], loss=0.967 [00:23<00:01]
[train] epoch: 183/200, [28/30], loss=0.962 [00:23<00:01]
[train] epoch: 184/200, [28/30], loss=0.96 [00:24<00:01]
[train] epoch: 185/200, [28/30], loss=0.957 [00:24<00:01]
[train] epoch: 186/200, [28/30], loss=0.953 [00:24<00:01]
[train] epoch: 187/200, [28/30], loss=0.954 [00:23<00:01]
[train] epoch: 188/200, [28/30], loss=0.955 [00:23<00:01]
[train] epoch: 189/200, [28/30], loss=0.953 [00:24<00:01]
[train] epoch: 190/200, [28/30], loss=0.95 [00:23<00:01]
[train] epoch: 191/200, [28/30], loss=0.944 [00:23<00:01]
[train] epoch: 192/200, [28/30], loss=0.942 [00:23<00:01]
[train] epoch: 193/200, [28/30], loss=0.939 [00:24<00:01]
[train] epoch: 194/200, [28/30], loss=0.936 [00:24<00:01]
[train] epoch: 195/200, [28/30], loss=0.935 [00:24<00:01]
[train] epoch: 196/200, [28/30], loss=0.935 [00:23<00:01]
[train] epoch: 197/200, [28/30], loss=0.926 [00:23<00:01]
[train] epoch: 198/200, [28/30], loss=0.929 [00:24<00:01]
[train] epoch: 199/200, [28/30], loss=0.924 [00:24<00:01]
Let’s visualize collected metrics:
plt.plot(train_metrics_history["train_loss"], label="Loss value during the training")
plt.legend()
<matplotlib.legend.Legend at 0x7fa1b6d24ed0>

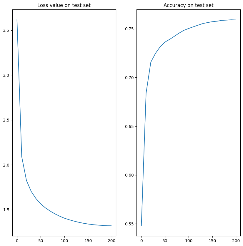
epochs = [epoch for epoch in range(num_epochs) if (epoch % test_every_epoch) == 0 or (epoch == num_epochs - 1)]
fig, axs = plt.subplots(1, 2, figsize=(10, 10))
axs[0].set_title("Loss value on test set")
axs[0].plot(epochs, eval_metrics_history["test_loss"])
axs[1].set_title("Accuracy on test set")
axs[1].plot(epochs, eval_metrics_history["test_accuracy"])
[<matplotlib.lines.Line2D at 0x7f9b7572c3d0>]

url1 = "http://images.cocodataset.org/val2017/000000039769.jpg"
url2 = "https://farm2.staticflickr.com/1152/1151216944_1525126615_z.jpg"
url3 = "http://farm7.staticflickr.com/6206/6123723223_4113967b1e_z.jpg"
fig, axs = plt.subplots(2, 3, figsize=(20, 10))
for i, (prefix, pil_image) in enumerate([
("Test image", Image.open(requests.get(url1, stream=True).raw)),
("Test image", Image.open(requests.get(url2, stream=True).raw)),
("Test image", Image.open(requests.get(url3, stream=True).raw)),
("Train image", train_dataset[35]["image"]),
("Train image", train_dataset[45]["image"]),
("Train image", train_dataset[75]["image"]),
]):
caption = model.generate(pil_image, max_length=max_length)
x = i // 3
y = i % 3
axs[x, y].imshow(pil_image)
axs[x, y].set_title(f"{prefix}:\n{caption}")

Further reading#
In this tutorial we implemented and trained a transformer-based model for image captioning task. We used a pretrained frozen Vision Transformer encoder and trained a small decoder to predict the next token. Observed generation capabilities of the trained model are not great. Next steps could be (1) to use larger decoder, (2) to unfreeze few top encoder layers, (3) try other decoder architectures.
Freezing model’s parameters using trainable parameters filtering: example 1 and example 2.
Other Computer Vision tutorials in jax-ai-stack.